
原标题:机关+事业单位!河北最新招聘来了,附岗位表
招聘速览
>保定市市直机关2020年公务员公开遴选公告
>滦南县事业单位2020年公开招聘工作人员公告
>乐亭县2020年事业单位公开招聘工作人员公告
>南宫市关于引进市外在编在岗教师的公告
>河北北方学院附属第一医院赤城院区招聘劳务派遣制医务工作人员公告
>盐山县关于卫健系统公开招聘医务工作人员公告
>唐山市公安局汉沽分局2020年招聘警务辅助人员公告
>石家庄市藁城区公安局交通管理大队警务辅助人员招聘公告
>玉田县通宇劳务输出有限公司关于公开招用劳务派遣工作人员的公告
>广宗县2020年公开招聘社区管理人员和工作人员简章
>邯郸市市政公用事业投资集团有限公司关于引进硕士人才的公告
>唐山市人才市场为北京理工大学唐山研究院公开招聘行政管理人员启事
>承德市双桥区人力资源和社会保障局公益性岗位招聘公告
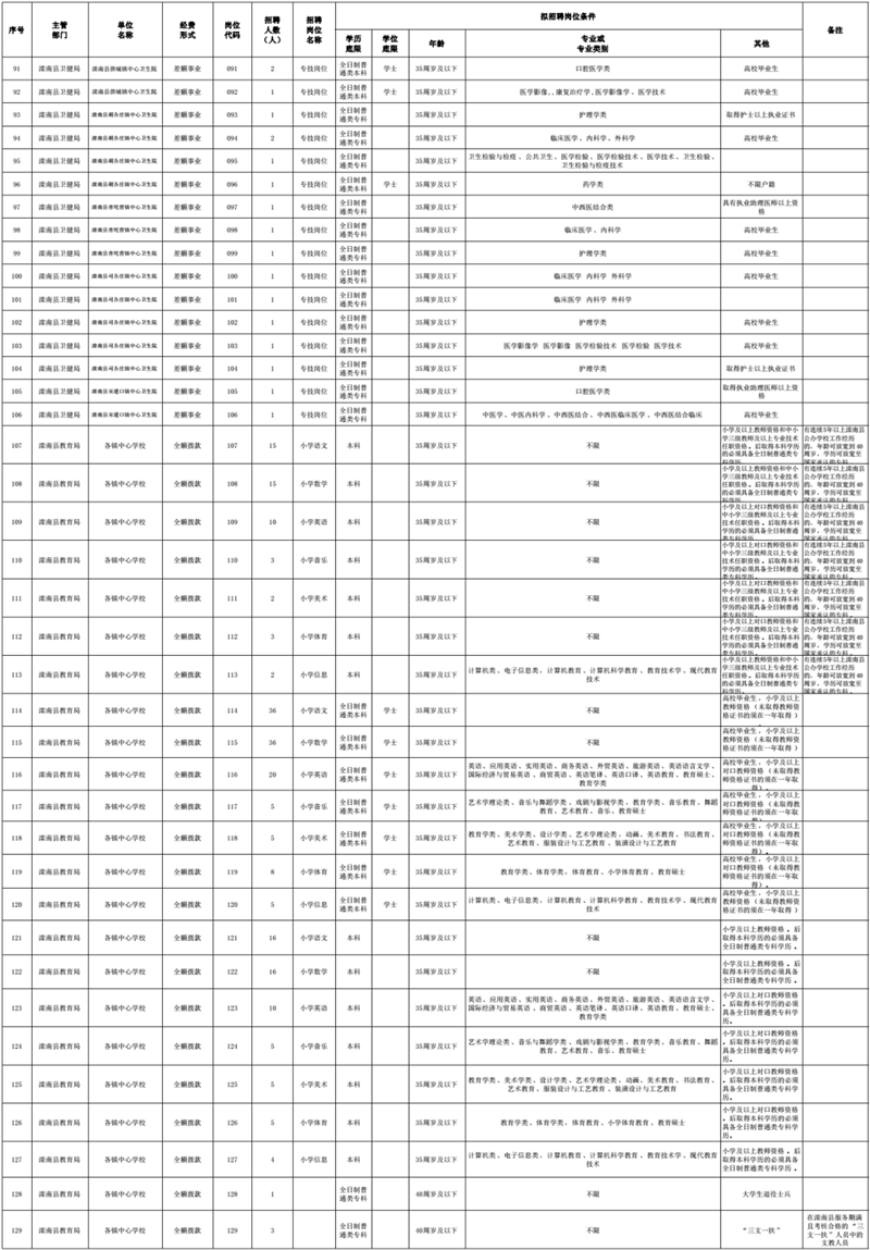
滦南县事业单位2020年公开招聘工作人员公告
为满足滦南县事业单位工作需要,贯彻落实《中共中央组织部办公厅人力资源社会保障部办公厅关于应对新冠肺炎疫情影响做好事业单位公开招聘高校毕业生工作的通知》,根据《事业单位人事管理条例》及《河北省事业单位公开招聘工作人员暂行办法》,经研究决定,面向社会公开招聘事业编制工作人员348名。现公告如下:
一、招聘原则
事业单位公开招聘坚持德才兼备和公开、平等、竞争、择优的原则,在考试、考察的基础上择优聘用。
二、招聘名额和信息发布
参加本次公开招聘的事业单位共招聘工作人员348名(其中:县直单位48名、教育系统230名、卫健系统70名)。各招聘单位的岗位、人数、岗位条件等详见《滦南县事业单位2020年公开招聘工作人员岗位条件表》(附件1,以下简称《岗位条件表》)。




县人力资源和社会保障局在“唐山事业单位招聘网www.tssydwzpw.com”“唐山人才网www.tsrcw.com”、微信公众号“滦南县人力资源和社会保障局”发布招聘信息,公布招聘的单位、岗位、人数、条件以及报名、考试安排等。在招聘过程中的重要通知事项,将通过微信公众号“滦南县人力资源和社会保障局”发布,请应聘人员及时关注。
三、招聘对象和条件
(一)应聘人员应具备以下基本条件:
1.具有中华人民共和国国籍。
2.遵守宪法和法律,具有良好的品行和职业道德。
3.适应岗位要求的身体条件。
4.具有滦南户籍(或已婚应聘人员配偶为滦南户籍)。户籍以报名截止日(2020年9月3日)户口所在地为准,招聘岗位对户籍有具体要求的从其要求。硕士研究生及以上学历的人员、“高校毕业生”不受户籍要求限制。
5.具有与招聘岗位要求相适应的年龄、学历学位、专业和技能条件。
(1)年龄计算。年龄一般在18周岁及以上、35周岁及以下,招聘岗位对年龄有具体要求的从其要求。《岗位条件表》年龄要求为“30周岁及以下”是指1989年9月3日至2002年9月3日期间出生;“35周岁及以下”是指1984年9月3日至2002年9月3日期间出生。以此类推。
(2)毕业证书及专业。应聘人员学历底限或以上学历的毕业证书载明的专业名称必须与岗位条件中专业要求一致。《岗位条件表》专业要求为“具体专业名称”的,须一字不差(设定的专业要求带括号的,审核时含括号中的内容;设定的专业要求不带括号的,只审核括号外内容)。
留学回国人员和其他海外、外国学历学位获得者需取得国家教育部留学服务中心出具的学历认证报告,其所学专业名称与招聘岗位要求专业名称不完全一致,但所学专业课程与招聘岗位专业课程大部分相同,且符合该岗位所需要的其他条件的,也可报考该岗位。留学人员毕业时间以学历认证报告认定时间为准。
6.具备岗位所需要的其他条件,具体条件按《岗位条件表》要求确定。
(二)部分岗位条件的说明
1.“高校毕业生”是指未落实工作单位的国家统一招生的高等院校普通类2018、2019、2020年毕业生(离校时其户口、档案、组织关系仍保留在原毕业学校,或保留在各级毕业生就业主管部门、毕业生就业指导服务中心、各级人才交流服务机构和各级公共就业服务机构)。
“三支一扶”人员是指2017年底以前在滦南县服务期满的支农、支教、支医、扶贫人员。
“大学生退役士兵”是指国家普通高等学校招生计划统一录取的全日制普通高等教育毕业、2019年退伍安置地在滦南县的大学生退役士兵。
2.对要求具备教师资格或护士执业资格的招聘岗位,根据《关于应对新冠肺炎疫情影响实施部分职业资格“先上岗、再考证”阶段性措施的通知》的要求,对“高校毕业生”实施“先上岗、再考证”阶段性措施,凡符合教师资格考试报名条件(或教师资格认定)、护士执业资格考试报名条件的“高校毕业生”报考可暂不要求提供资格证书。对被聘用的“高校毕业生”,签订《事业单位聘用合同》时应当按规定约定1年试用期,试用期满未取得相应职业(执业)资格的,应当依法解除聘用合同。
3.根据《教师资格条例》第五条:取得教师资格的公民,可以在本级及其以下等级的各类学校和其他教育机构担任教师;但是,取得中等职业学校实习指导教师资格的公民只能在中等专业学校、技工学校、职业高级中学或者初级职业学校担任实习指导教师。高级中学教师资格与中等职业学校教师资格相互通用。
4.凡涉及到年龄、户籍(含户口本、结婚证)、各类证书(不含毕业证书、学位证书)等需要确定时间的,计算日期截止到 2020年9月3日(报名截止日)。
(三)有下列情形之一的人员不得报考:
现役军人、试用期(服务期)内的公务员(参照公务员法管理的工作人员)、2021年及以后毕业的高等院校普通类在读学生。
曾因犯罪受过刑事处罚和被开除公职的人员、失信被执行人,以及法律法规规定不得招聘为事业单位工作人员的其他情形人员。
此外,应聘人员不得报考聘用后即构成回避关系的招聘岗位。回避关系是指《河北省事业单位公开招聘工作人员暂行办法》第四十一条关于“凡与聘用单位负责人员有夫妻关系、直系血亲关系、三代以内旁系血亲或者近姻亲关系的应聘人员,不得应聘该单位负责人员的秘书或者人事、财务、纪律检查岗位,以及有直接上下级领导关系的岗位。聘用单位负责人员和招聘工作人员在办理人员聘用事项时,涉及与本人有上述亲属关系或者其他可能影响招聘公正的,也应当回避”的规定。
四、招聘方式
本次公开招聘采取“统一招聘”和“选聘”的方式。
“统一招聘”(岗位001——030、岗位034——129)采取笔试、面试相结合的方式进行,总成绩=笔试成绩×60%+面试成绩×40%,总成绩保留2位小数。“选聘”(岗位031、032、033)只采取面试方式进行,总成绩=面试成绩。
五、报名办法
本次公开招聘实行现场报名和资格初审,每人限报考一个岗位。
1.报名时间:2020年8月27日-9月3日(周六、周日除外)
上午8:30-11:00,下午2:00-5:00。
2.报名地点:报考教师岗位的人员报名地点在县教育局,报考其他事业单位岗位及卫健系统岗位的人员报名地点在县人社局(行政办公中心三楼西侧)。
3.资格审查及缴费:现场报名时,依据招聘岗位设置的条件进行资格审查。通过资格审查考生交纳报名考试费100元。
考生报名时须提交《滦南县事业单位2020年公开招聘工作人员报名登记表》(附件2)一份(先行从唐山事业单位招聘网http://www.tssydwzpw.com上下载表格、填写相关信息并粘贴彩色照片),同时携带本人有效的身份证、户口本、毕业证、学位证、职称资格证、执业资格证、教师资格证等相关证件原件及复印件,近期免冠彩色一寸同版照片4张,所有证件均审核原件,留存复印件。
4.报名考务费减免对象。报名考务费减免对象包括:建档立卡贫困家庭的考生、城乡低保家庭的考生。减免对象须提供:建档立卡贫困家庭的考生须提供本人身份证和扶贫手册(原件及复印件);城乡低保家庭的考生须提供本人身份证和其家庭所在地的县(市、区)民政部门出具的享受最低生活保障的证明或低保证(原件及复印件)。
5.开考比例
各招聘岗位报考人数与招聘人数的比例不低于2:1,对达不到比例的岗位,核减或取消该岗位的招聘计划,同时通知考生改报其它岗位或放弃报考。“三支一扶”、大学生退役士兵、选聘岗位不限开考比例。
6.文旅局“冀东文艺三枝花”保护中心034岗位(主持人)根据报名情况进行初选,初选通过人员参加笔试、面试。
六、考试内容和流程
(一)笔试
1.笔试内容
笔试为分类考试,每类分两个科目,一张试卷,采用闭卷考试方法,考试时限为120分钟,满分为100分。
笔试专业类别分为教育类、医学类和综合类。
报考教育类岗位的考生参加统一招聘教育类专业科目笔试,包括:教育专业能力测验和公共基础知识。
报考医学类岗位的考生参加统一招聘医学类专业科目笔试,包括:医学基础知识和公共基础知识。
报考综合类岗位的考生参加统一招聘综合类科目笔试,包括:职业能力测验和公共基础知识。
2.笔试时间和地点
笔试时间及地点详见笔试准考证
领取笔试准考证时间:2020年9月11日
上午8:30-11:00,下午2:00-5:00。
领取地点:各个岗位的报名地点(县教育局、县人社局)
参加笔试时,必须同时携带有效期内法定身份证件(二代身份证、临时身份证或护照)、《笔试准考证》和《个人健康信息承诺书》(附件3),方能进入考场,否则不得参加考试。
考生务必按要求填报《个人健康信息承诺书》,详见《考生防疫与安全须知》(附件4)。考生对个人健康状况填报实行承诺制,承诺填报内容真实、准确、完整,凡隐瞒、漏报、谎报旅居史、接触史、健康状况等疫情防控重点信息的,记入考试诚信档案,并依规依纪依法处理。
考生务必牢记:填报个人健康信息时间、打印、领取《笔试准考证》时间、考试时间等重要时间信息,凡是在规定时间未完成相关操作的,将被视为自动放弃。
3.成绩查询
考生笔试成绩及进入资格复审人选名单登录“滦南教育信息网”www.lnxjyj.com查询。
县公开招聘工作领导小组办公室根据笔试总体情况划定笔试最低控制分数线,对在最低控制分数线以上的考生,按照进入资格复审人数与招聘人数2:1的比例(文旅局“冀东文艺三枝花”保护中心主持人岗位比例为5:1),从高分到低分确定资格复审人选(末位并列一并进入资格复审)。
(二)资格复审
审核通过的进入下一步面试程序;未通过的取消资格,比例不足的递补本岗位笔试成绩下一名考生进入资格复审,合格的进入下一程序。
不符合岗位报考条件的考生,取消资格,对严重弄虚作假行为要追究责任。
(三)面试
面试选择结构化面试、试讲、答辩、专业知识测试、工作情景模拟、实际操作或其他测评方式进行面试。面试成绩满分100分,60分为合格线。
面试结束后,出现空缺岗位不再从笔试成绩人员中递补。按体检人数与聘用人数1:1的比例,依据考生总成绩从高分到低分确定体检人选。
如比例内末位考生总成绩出现并列,笔试成绩高者优先,笔试成绩仍相同,按以下顺序确定进入体检考生:烈士子女或配偶,学历(学位)较高者,退役士兵,少数民族考生,具有基层工作经历或基层工作经历较长者,曾受县级以上党委、政府奖励且受奖级别较高者。如果以上条件均相同,都进入体检程序,根据体检结果择优聘用。
七、体检、考核、公示、聘用
(一)体检。体检项目和标准参照现行的《公务员录用体检通用标准》执行,体检费用自理。
(二)考核。考核由事业单位或其主管部门组织实施。按照《公告》和《岗位条件表》中年龄、学历、专业、工作经历、户籍及其他岗位条件的要求,审查被考核人资格条件,验证核实有关证书、证明、报到证等材料;考察拟聘用人员的政治思想表现、道德品质、业务能力、工作实绩等情况;做出“合格”或“不合格”结论。考核不合格的取消应聘资格。
(三)公示。对考核合格的拟聘用人员在微信公众号“滦南县人力资源和社会保障局”进行公示,公示期为7个工作日。对公示反映有严重问题并查有实据,不符合聘用条件的取消其拟聘人选资格;对反映有严重问题但一时难以查实的,暂缓聘用,待查实并做出结论后决定是否聘用。
因体检或考核不合格、公示结果影响聘用、公示期间放弃,导致拟聘岗位出现空缺的,在本面试组本岗位内按总成绩由高到低依次递补。
(四)聘用。对公示期满无异议的,或有反映问题但经核实不影响聘用的,由用人单位提出聘用意见,经主管部门核准后,填写《河北省事业单位公开招聘工作人员审批表》《河北省事业单位公开招聘工作人员拟聘人员名册》,报县人社部门审批后,办理编制、就业、流动、工资、社保等相关手续,并按有关规定签订《河北省事业单位聘用合同》。所报岗位未明确具体单位的,被聘用人员在选择单位时按总成绩由高到低的顺序依次选择,如有总成绩相同,以抽签的方式确定选择顺序。
被聘用人员按相关政策规定实行试用期,试用期一并计算在聘用合同期限内。试用期满考核合格的,予以正式聘用,不合格的,取消聘用。被聘用人员正式聘用后在所在单位的最低服务年限须满3年。
(特别提示:凡考生未在规定时间内按要求参加笔试、资格复审、面试、体检、考核、报到等情况的,均视为自动放弃应聘资格;资格审核贯穿招聘工作全过程,在任何环节,发现考生不符合招聘条件、弄虚作假的,取消应聘资格,问题严重的要追究责任。)
招聘工作咨询电话:综合类0315-4297029
教育类0315-4123089
医学类0315-2450508
详情登录
http://www.tssydwzpw.com/web/wenjian/20200824154414.html
乐亭县2020年事业单位公开招聘工作人员公告
为满足乐亭县事业单位工作需要,根据《事业单位人事管理条例》及《河北省事业单位公开招聘工作人员暂行办法》,经研究决定,面向社会公开招聘事业编制工作人员63名,制定招聘方案如下:
(特别提示:本次招聘的政策、方法、程序、时间安排、有关要求等内容,已在本公告尽可能详细写明,请认真阅读,在确有公告未尽的疑问时再电话咨询,以提高广大考生的咨询效率。)
一、招聘原则
坚持德才兼备,民主、公开、竞争、择优,实施公开招聘,在考试、考核的基础上择优聘用。
二、招聘方式
本次招聘采取统一招聘方式。笔试、面试考务工作,由乐亭县公开招聘事业单位工作人员领导小组办公室委托第三方考试机构组织实施。
三、招聘条件、岗位、人数
(一)应聘人员应具备以下基本条件:
1.具有中华人民共和国国籍。
2.遵守宪法和法律,具有良好的品行和职业道德。
3.具有与招聘岗位要求相适应的年龄、学历学位、专业和技能条件。
4.适应岗位要求的身体条件。
5.具备岗位所需要的其他条件。
(二)招聘人数和岗位条件:
本次事业单位共招聘工作人员63名,具体人数、岗位条件详见《乐亭县2020年事业单位公开招聘工作人员岗位信息表》(附件1),以下简称《岗位信息表》。
(三)部分岗位条件的说明:
1.“高校毕业生”是指未落实工作单位的国家统一招生的高等院校普通类2018、2019、2020年毕业生(离校时其户口、档案、组织关系仍保留在原毕业学校,或保留在各级毕业生就业主管部门、毕业生就业指导服务中心、各级人才交流服务机构和各级公共就业服务机构)。
2.幼儿园A、B岗位要求具备相应教师资格,根据《关于应对新冠肺炎疫情影响实施部分职业资格“先上岗、再考证”阶段性措施的通知》要求,实施“先上岗、再考证”阶段性措施,凡符合教师资格考试报名(或教师资格认定)条件,报考时可暂不要求提供资格证书。被聘用人员签订《事业单位聘用合同》时,按规定约定1年试用期,试用期满未取得教师资格证书的,依法解除聘用合同。
3.年龄计算。《岗位信息表》年龄要求为“35周岁及以下”是指1984年8月24日及以后出生;“40周岁及以下”是指1979年8月24日及以后出生。以身份证为准。
4.毕业证书及专业。应聘人员学历底限或以上学历的毕业证书载明的专业名称必须与岗位条件中专业要求一致。《岗位信息表》专业要求为“具体专业名称”的,须一字不差。
5.乐亭县公办学校人事代理和事业聘用人员、教师志愿者,报考B岗时年龄放宽到40周岁,学历放宽至取得国家承认的大专及以上学历,已取得幼儿教师资格证书的人员,报名时可不受所学专业限制。硕士研究生及以上学历人员报考时,不受户籍限制,年龄放宽到40周岁。
6.2019年大学生退役士兵不受户籍限制,年龄放宽到40周岁。
7.凡涉及到年龄、户籍(含户口本、结婚证)、各类证书(不含毕业证书、学位证书)等需要确定时间的,计算日期截止到 2020年8月24日。
(四)有下列情形之一的人员不得报考:
1.曾因犯罪受过刑事处罚的、曾被开除公职的人员。
2.现役军人。
3.试用期(服务期)内的公务员(参照公务员法管理的工作人员)。
4.未满最低服务年限或未满约定服务期限的人员。
5.失信被执行人以及法律、法规规定不得招聘为事业单位工作人员的其他情形人员。
6.2021年及以后毕业的高等院校普通类在读学生。
四、招聘程序
(一)发布公告
2020年8月18日通过唐山事业单位招聘网(http://www.tssydwzpw.com)、唐山人才网(http://www.tsrcw.com)面向社会公开发布招聘公告。
(二)报名和资格审查
采取本人现场报名的方式。
1.报名时间:2020年8月24日--8月27日(上午8:30--11:30 ,下午2:30--5:00;8月27日下午4:00停止报名)。
2.报名地点及联系方式:乐亭县人力资源市场(城区工业园区创业二街北侧),非报名日工作时间咨询电话:县人社局0315-4611059、县教育局0315-4626625、县卫健局0315-4621635。
3.报名要求:考生务必按要求填报《个人健康信息承诺书》(附件2)。考生对个人健康状况填报实行承诺制,承诺填报内容真实、准确、完整,凡隐瞒、漏报、谎报旅居史、接触史、健康状况等疫情防控重点信息的,记入考试诚信档案,并依规依纪依法处理。
每名报考人员可根据自身实际情况选择报考1个岗位。报考人员应如实提交有关信息和材料,凡本人填写信息不真实、不完整或填写错误的,责任自负。报名与考试时使用的身份证必须一致,同时请保持报名时所留联系电话的畅通,以便通知有关事宜。
报名者现场提交《乐亭县事业单位公开招聘工作人员报名表》(附件3),需从相应网站下载打印填写,本人签字确认。同时携带本人有效身份证、户口本(首页和本人页)、毕业证、《个人健康信息承诺书》及有关材料原件,并提供上述材料的复印件、四张近期同版一寸免冠照片。配偶为乐亭县户籍的,需提供结婚证及配偶户口本(首页和本人页)原件及复印件,生源地为乐亭县的提供高中毕业证书原件及复印件。
乐亭县公办学校人事代理和事业聘用人员、教师志愿者不需另行提供工作证明材料,其资格由县教育局统一审查。2019年大学生退役士兵报考定向岗位时,另需提供《退伍证》原件及复印件。
4.资格审查与缴费:由乐亭县公开招聘事业单位工作人员领导小组办公室依据招聘岗位设置条件进行资格初审,通过资格审查的考生交纳报名考务费100元。
5.开考比例:各岗位招聘人数与岗位报考人数的比例不低于1:2。报名人数达不到开考比例的,取消该岗位招聘计划或相应减少招聘人数。招聘岗位变化情况于报名结束后第二天在唐山人才网发布。
6.准考证发放:考生于2020年9月9日上午8:30至11:00携带本人身份证到县人力资源市场领取准考证。
(三)笔试
1.笔试方式:笔试采取闭卷的方式,实行百分制,满分100分。教育类笔试内容为幼儿教育学、幼儿心理学、幼儿园教育指导纲要、3-6岁儿童学习与发展指南、幼儿卫生与保健;医学类笔试内容为医学专业能力测验和公共基础知识;综合类笔试内容为职业能力测验和公共基础知识。
参加笔试时,必须同时携带有效期内法定身份证件(二代身份证、临时身份证)、《准考证》和《个人健康信息承诺书》,方能进入考场,否则不得参加考试。
本次考试不指定考试辅导用书,不举办也不委托任何机构或个人举办考试辅导培训班。目前社会上出现的假借事业单位招聘考试命题组、专门培训机构等名义举办的辅导班、辅导网站或发行的出版物、上网卡等,均与本次考试无关。敬请广大应聘者提高警惕,切勿上当受骗。
2.笔试时间:2020年9月12日上午9:00至11:00 (120分钟)。笔试具体地点和有关要求详见笔试准考证。笔试成绩于9月13日在唐山人才网公布。
(四)面试
1.面试人选确定:县公开招聘工作领导小组办公室根据笔试总体情况划定笔试最低控制分数线。对在最低控制分数线以上的考生,按照进入面试人数与招聘人数2:1的比例,从高分到低分确定面试人选(末位并列一并进入面试)。
2.面试时间和地点:面试时必须同时携带有效期内法定身份证件(二代身份证、临时身份证)、《准考证》和《个人健康信息承诺书》,时间定于2020年9月19日上午8:00,面试地点及具体事项于2020年9月17日在唐山市人才网发布。
3.面试方式:
幼儿园A岗、B岗面试,采取分组讲课的形式进行,讲课题目由考生当场抽签确定,当场备课,当场讲课。备课时间10分钟,讲课时间不超过10分钟。其他岗位采取结构化方式进行,主要测试应聘人员的综合素质和相关能力。
面试实行百分制,成绩采用“体操打分”方法,去掉一个最高分和一个最低分后,其他分数的平均分为面试成绩。面试成绩当天在考场外张贴公布,满分100分,60分为合格线。低于合格线的不进入下一环节。
总成绩合成:按笔试成绩、面试成绩两部分计算考试总成绩,满分 100分。笔试成绩占40%,面试成绩占60%。计算考生成绩时,保留小数点后两位,总成绩于9月21日在唐山人才网发布。
(五)体检与考核
根据考生考试总成绩,按照招聘计划1:1比例从高分到低分确定参加体检人选。如考试总成绩相同,按笔试成绩高、烈士子女或配偶、退役士兵、学历学位高、中共党员的顺序确定人选。体检项目和标准参照现行的公务员录用体检标准执行,费用自理。
体检人员名单及相关事宜于2020年9月23日在唐山人才网发布。体检合格的,由乐亭县公开招聘事业单位工作人员领导小组办公室对其思想政治表现、道德品质、业务能力、工作实绩等情况进行考核,并对其资格条件进行复查。体检、考核、资格复查任一环节不合格的,取消拟聘人选资格,并从报考同一岗位的人员中按总成绩从高分到低分依次递补。
(六)公示
根据考生的笔试、面试、体检、考核情况,确定拟聘用人选,拟聘用人选信息在唐山人才网公布,公示期7个工作日。
(七)聘用
对公示期间反映有严重问题并查有实据,不符合聘用条件的取消其拟聘人选资格,并从报考同一岗位的人员中按考试总成绩从高分到低分的顺序依次递补。对反映有严重问题但一时难以查实的,暂缓聘用,待查实并做出结论后决定是否聘用。公示期满后反映有严重问题并查有实据的,取消其聘用资格,不再递补。
对公示期满无异议的,或有反映问题但经核实不影响聘用的,填写《河北省事业单位公开招聘工作人员审批表》一式五份,与用人单位签订聘用合同,纳入事业编制,按国家规定落实相关待遇。试用期为一年,在试用期内未取得相应职业资格证书或期满考核不合格的依法解除聘用合同。
所报岗位未明确具体单位的,被聘用人员在选择单位时按总成绩由高到低的顺序依次选择,如有总成绩相同者采用抽签方式确定选择先后顺序。
(特别提示:凡考生未在规定时间内按要求参加笔试、面试、体检、考核、报到等情况的,均视为自动放弃应聘资格;资格审核贯穿招聘工作全过程,在任何环节,发现考生不符合招聘条件,弄虚作假的,取消应聘资格,问题严重的要追究责任。)
本方案最终解释权归乐亭县公开招聘事业单位工作人员领导小组办公室。
详情登录
http://www.tssydwzpw.com/web/wenjian/20200818155632.html
南宫市关于引进市外在编在岗教师的公告
为进一步加强南宫市教师队伍建设,优化教师队伍结构,办人民满意的教育,深入推进“人才强市”战略,根据《事业单位人事管理条例》《南宫市关于引进市外在编在岗教师的实施方案》,使南宫籍在河北省内南宫市域外(以下简称“省内市外”)工作的在编在岗教师能为家乡教育发展做贡献,经市委、市政府批准,公开引进一批南宫籍在省内市外工作的中小学教师,现将有关事项公告如下:
一、引进范围
1.南宫籍在省内市外工作的在编在岗中小学教师。
2.南宫市行政机关、事业单位在编在岗人员的配偶、子女在省内市外工作的在编在岗中小学教师。
3.南宫籍人员的配偶、子女或子女的配偶在省内市外工作的在编在岗中小学教师。
二、引进条件
(一)具有下列资格条件的人员可以报名:
1.全日制本科学历,年龄不超过35周岁(1984年8月31日以后出生);具有全日制研究生学历或副高级以上职称可放宽至不超过40周岁(1979年8月31日以后出生)。
2.具有相对应的教师资格证。
3.入编以来年度考核均为合格等次及以上,有任职最低服务年限的应达到最低服务年限。
4.符合拟任岗位所要求的其他资格条件。
5.自愿接受工作安排和岗位调整。
6.具有正常履行职责的身体条件。
(二)有下列情形之一的人员不能报名:
1.因犯罪受过刑事处罚的。
2.曾被开除公职或学籍的。
3.受党纪政纪处分尚未解除的。
4.因违法违纪正被调查处理的。
5.失信被执行人。
6.有吸毒经历的。
7.因身体健康原因不能胜任正常教育教学工作的。
8.法律法规规定不得聘用为事业人员其他情形的。
三、引进程序
1.2020年8月21日--31日,引进范围内人员有意愿回南宫工作的,由本人写出书面申请,持本人身份证、全日制学历毕业证书、教师资格证、在编证明、所在单位出具的任教年级及学科的在岗证明以及相关人员的户口簿的原件和复印件,本人所在单位及主管部门同意调动证明材料,到南宫市教育局人事股办理申请登记手续。
2.面试。对申请登记的中小学教师统一进行面试,面试采用试讲方式,满分100分。面试成绩合格分数线设定为60分,低于60分者不得进入综合考察环节。
3.经审查,符合条件的回南宫工作的省内市外在编在岗中小学教师,报南宫市委、市政府研究同意后,根据机关事业单位干部调配有关规定办理相关手续。
四、岗位安排
坚持身份相符、人岗相适、空编安置、充实基层的原则,市域外工作的在编在岗教师引进南宫市后,参照引进人员原任教学段学科和南宫市学校学科需求,安排到相应空编的学校工作。
本公告由南宫市教育局、市人社局负责解释。
咨询电话: 南宫市教育局:5263161
南宫市人社局:5058868
咨询时间: 上午8:30-12:00(工作日)
下午2:30-5:30(工作日)
详情登录
https://www.nangong.gov.cn/article-5712-1.html
河北北方学院附属第一医院赤城院区招聘劳务派遣制医务工作人员公告
根据工作需要,河北北方学院附属第一医院赤城院区委托张家口中友人力资源服务有限公司面向社会公开招聘劳务派遣制医务工作人员,现公告如下:
一、招聘原则
坚持德才兼备、人岗相适的用人标准,按照公开、平等、竞争、择优的原则实行公开招聘。
二、招聘名额及职位
此次共计招聘医务工作人员40名,具体招聘职位见附表。
三、招聘条件
(一)应聘人员应具备以下基本条件:
1、拥护中华人民共和国宪法;
2、具有良好的品行和职业道德;
3、身体健康,五官端正,无残疾、无色盲色弱、无纹身、无明显疤痕、无传染病、无吸毒史、无抑郁史及精神心理问题,直系亲属无精神病史,具有履行职责的身体条件和工作能力;
4、户籍不限,男女不限;
5、第一学历为全日制专科,部分不含3+2;
6、毕业2年以上需执业助理医师证或执业医师证或其它相关专业证书,毕业两年内可以无上述相关证书;
(二)有下列情况之一的,不得应聘:
1、曾被劳动教养、受过刑事处罚、未成年管教或曾被开除公职的人员;
2、正在接受司法或纪检监察机关立案审查的;
3、有犯罪嫌疑尚未查清的;
4、现役军人、公务员(含试用期)、在校(读)学生;
5、受党、政纪律处分仍在处分期内的;
6、其他不符合报考资格条件的。
四、招聘程序和方法
(一)发布信息
2020年8月24日在“赤城县人民政府网站”“张家口中友人力资源服务有限公司网站”“赤城县电视台”“张家口发布”微信公众号等媒体发布招聘公告。
(二)报名和缴费
本次招聘采取网上报名、缴费方式。
1、报名方式:登录网址:http://221.192.132.159:82进行网上报名。
2、报名时间:2020年8月27日上午9:00--2020年9月2日下午5:00。
3、缴费时间:2020年8月27日上午9:00--2020年9月3日下午5:00,报名考务费为100元/人。
4、报名审核:考生在报名后将进入资格初审环节。一般情况下,审核员24小时内会在报名系统上回复审核结果。“审核未过”的,可根据提示的未过原因,修改信息或改报岗位并重新提交审核;“审核通过”的,将不能再修改。请考生尽量不要选择最后时刻报名,以免因报考条件不符或填报信息不完整等原因“审核未过”而错失改报机会。凡是在规定时间未完成相关操作的,亦将被视为自动放弃。同时,报名和考试期间务必保管好个人的证件和信息,因个人原因造成丢失、被他人盗用和信息被恶意篡改而影响报名和考试的,责任自负。
通过资格初审的考生方可在规定时间内进行缴费,未在规定时间内进行缴费确认的考生将被视为自动放弃报名资格。若某一岗位报名人数与招用岗位比例不足2:1时,则核减该岗位招用数量或取消该岗位招用,并通知被招用人员改报其他岗位。
5、报名要求:考生报名时,须按照公布的报考条件如实填写,在报名时每人只能填报一个岗位(先选择单位代码再选择岗位代码)。如报考人员提交虚假信息和材料,不符合报考条件的要求,由此造成的一切后果,责任自负。
报名实行严格的自律机制,报考人员对所填写报名信息的真实性负责;在入围面试人员资格复审时,凡发现填报的信息与实际情况不一致的,取消面试资格;其他环节或聘用后发现弄虚作假的,视情况取消应聘资格。
6、退费说明:低保家庭、建档立卡贫困家庭子女免收报名考务费。可在招聘结束后指定的时间地点向招聘工作组提供本人家庭所在地的县区级民政部门出具的享受最低生活保障的证明及低保证、户口原件及复印件;县区级扶贫部门出具的建档立卡贫困户证明及扶贫手册、户口原件及复印件。由招聘工作组审核后统一退回报名考务费。具体时间另行通知,详见报名网站。
7、准考证打印:准考证在报名网站:http://221.192.132.159:82打印准考证打印时间:2020年9月4日9:00起开放准考证打印功能。
(三)考试
本次招聘采取笔试、面试相结合的方式实施招录考试工作。
1、笔试
时间:2020年9月6日上午。
笔试时间、地点详见《笔试准考证》。
形式:闭卷考试方式。
内容:笔试分为二种:
(1)非会计、计算机类考试内容为“医学专业知识”,考试时间为120分钟,满分为100分。
(2)会计、计算机类考试内容为《公共基础知识》《行政能力测试》》二部分内容,各占50%,考试时间为120分钟,满分为100分。
注:笔试结束后将按照拟招录人数1:2比例确定资格复审人员名单,比例内末位笔试成绩并列的全部进入面试人选。资格复审后,进入面试人员名单将在报名网站(http://221.192.132.159:82)公布,请应聘人员及时上网查询。
2、面试
面试采取结构化面试办法进行,内容为专业基础知识,满分100分,面试主要测评应聘人员的工作适应综合能力、应变与自我控制能力、语言表达与仪表举止等。
进入面试的应聘人员及时上网查询打印《面试准考证》(同报名网址:http://221.192.132.159:82)。
面试时间、地点详见《面试准考证》。
(四)计算综合考试成绩,确定体检名单
综合成绩=笔试成绩×60%+面试成绩×40%。
根据个人总成绩,从高分到低分按岗位1:1确定体检人员,个人总成绩并列时,优先进入体检程序的顺序为:面试成绩高者、学历高者、参加工作时间早者。
体检出现不合格者或者弃权者,按照综合成绩由高分到低分依次递补。
(五)体检和政审
1、体检
由张家口中友人力资源服务有限公司统一组织体检,参照《公务员录用体检标准》执行,体检费用由应聘人员自行承担。
体检时间及地点将在报名网站(http://221.192.132.159:82)公布,逾期不到者视为自动放弃应聘资格。
2、政审
主要考核拟聘人员的政治思想表现、道德品质、业务能力、工作实绩等情况,以及对拟聘人员的档案材料进行审核。
五、聘用管理
本次招聘录用人员属劳务派遣用工性质,非公务员身份、非事业编制。由张家口中友人力资源服务有限公司与录用人员签订劳务派遣合同,合同期限为两年,合同期限届满,经用工单位和聘用人员双方协商同意可续订此合同。
应聘人员录用名单将在体检政审后,通过报名网站(http://221.192.132.159:82)进行公布。
六、岗位待遇
本次招聘人员一经录用,赤城院区提供住宿。缴纳“五险”(养老、工伤、失业、医疗、生育)。
被聘用人员按相关政策规定实行试用期,试用期一并计算在合同期限内。试用期为2个月,试用期工资1680元/月。试用期满后,经院委会根据试用期间的工作表现决定是否留用为正式劳务派遣人员。转正人员根据医院同工同酬规定,依照学历和职称,进行同工同酬调资。
七、其他事项
(一)接受报名单位指定为张家口中友人力资源服务有限公司,不设立其他委托机构或个人;
(二)凡考生未在规定时间内按要求参加笔试、面试、体检、报到等情况的,均视为自动放弃应聘资格;
(三)在本次招聘工作中,监督、审核贯穿全过程,在任何环节,发现考生弄虚作假或违反考试纪律的,一律取消应聘资格,问题严重的要追究责任;
(四)空缺岗位,按综合成绩从高分到低分依次递补。综合成绩出现并列时,面试成绩高者优先;面试成绩相同时,学历高者优先。
(五)根据疫情防控工作的有关要求,参加报名、笔试、面试等各种环节的考生需提前申领“河北健康码”,现场出示显示绿码后方可通过。申领方式为:通过微信搜索“冀时办”登录“河北健康码”,按照提示填写健康信息,核对并确认无误后提交,自动生成“河北健康码”。凡是因个人未及时申领健康码造成不能出示绿码的,视为自动放弃应聘资格。
疫情期间个人注意事项:疫情期间请所有参加笔试、面试、体检等环节人员正确佩戴一次性口罩出行,如需乘坐公共交通工具时,务必全程佩戴口罩,途中尽量避免用手触摸车上物品。进入指定地点前自觉接受体温检测和消毒工作,体温正常可以进入,听从工作人员安排。
特别提醒:所有应聘人员,在招聘期间随时关注http://221.192.132.159:82网站,以免错过招聘相关通知,造成不必要的损失。同时本次考试不指定考试辅导用书,不举办也不委托任何机构或个人举办考试辅导培训班。目前社会上出现的假借招聘考试命题组、专门培训机构等名义举办的辅导班、辅导网站或发行的出版物、上网卡等,均与本次招聘无关。敬请广大应聘者提高警惕,切勿上当受骗。
咨询电话:0313-2042777 2032777
详情登录
http://221.192.132.159:82/web/wenjian/20200824090356.html
盐山县关于卫健系统公开招聘医务工作人员公告
根据《事业单位人事管理条例》《河北省事业单位公开招聘工作人员暂行办法》和《河北省人力资源和社会保障厅关于转发<关于切实做好新型冠状病毒感染的肺炎疫情防控期间事业单位人事管理工作有关问题的通知>的通知》文件精神,结合盐山县乡镇卫生院和盐山县疾病预防控制中心疫情防控工作需要,经研究决定,面向社会公开招聘工作人员43名,现就有关事项公告如下:
一、招聘原则和方式
按照德才兼备的用人标准和公开、平等、竞争、择优的原则,面向社会公开招聘工作人员。通过笔试、面试、考察等程序择优招聘。
二、招聘条件
(一)招聘人员应具备以下基本条件:
1.具有中华人民共和国国籍;
2.遵守宪法和法律,具有良好的品行和职业道德;
3.具有与招聘岗位要求相适应的年龄、学历、专业、户籍等条件;
4.年龄在30周岁及以下(1989年8月31日以后出生),研究生年龄可放宽到 35周岁及以下(1984年8月31日以后出生);
5.具有与招聘岗位要求相适应的专业技能条件和身体条件;
6.具备岗位所需要的其他条件。
招聘岗位及条件等详见《盐山县2020年卫健系统公开招聘医务工作人员岗位条件表》(附件1)。
留学回国人员和其他海外、外国学历学位获得者的专业名称与招聘岗位要求专业名称不完全一致,但所学专业课程与招聘岗位专业课程大部分相同,且符合该岗位所需要的其他条件的,也可报考该招聘岗位。
凡涉及到年龄、户籍等需要确定时间的,计算日期截止到2020年8月31日。
高校毕业生暂未取得相应职业(执业)资格但符合招聘岗位要求的其他资格条件的,可按照“先上岗、再考证”有关规定报考;对被聘用的高校毕业生,签订《事业单位聘用合同》时应按规定约定1年试用期,在试用期内未取得职业(执业)资格之前主要从事辅助性工作;试用期满未取得相应职业(执业)资格的,依法解除聘用合同。
(二)有下列情况之一的,不得报考:
1.正在接受司法机关、纪检监察机关立案侦查审查的;
2.曾因犯罪受过刑事处罚的和曾被开除公职的;
3.现役军人,在校学生;
4.失信被执行人;
5.原工作(聘用)单位不同意报考的;
6.试用期内的公务员和试用期内的事业单位工作人员;
7.未满最低服务年限或未满约定最低服务期限的人员;
8.法律法规规定不得招聘为事业单位工作人员的其他情形人员。
此外,报考人员不得报考聘用后即构成回避关系的招聘岗位。回避关系是指《河北省事业单位公开招聘工作人员暂行办法》第四十一条规定的“凡与聘用单位负责人员有夫妻关系、直系血亲关系、三代以内旁系血亲或者近姻亲关系的应聘人员,不得应聘该单位负责人员的秘书或者人事、财务、纪律检查岗位,以及有直接上下级领导关系的岗位。聘用单位负责人员和招聘工作人员在办理人员聘用事项时,涉及与本人有上述亲属关系或者其他可能影响招聘公正的,也应当回避”。
三、报名办法
1、报名时间:2020年8月31日至9月4日,上午8:30-12:00;下午1:30-5:30。
2、报名地点:盐山县人力资源和社会保障局四楼会议室。
3、考生报名需提供以下材料:
(1)有效居民身份证(二代)及复印件(正反面);
(2)户口本及复印件(户主页和本人页);
(3)毕业证及复印件;
(4)报考医生B岗位、医生D岗位、护理B岗位、医学检验B岗位的考生需提供就业报到证;
(5)近期免冠、正面、小二寸、蓝底、同版照片4张;
(6)在编在岗人员需提供所在单位同意报考证明;
(7)《盐山县2020年卫健系统公开招聘医务工作人员报名表》(附件2);
(8)国外学历须出具教育部留学认证中心提供的学历学位认证书;
(9)岗位要求的其他证明材料;
每名考生限报一个招聘岗位,报名审核通过人员交纳报名考务费 100元。审核通过人员于2020年9月9日上午8:30-12:00;下午1:30-5:30到盐山县人力资源和社会保障局四楼会议室领取准考证,逾期不领着视为自动放弃。
四、考试内容、时间、地点
1、笔试
(1)笔试内容为《公共基础知识》和《卫生基础理论》,满分100分。《卫生基础理论》主要内容为医疗基础知识、基本技能、相关法律法规等。
(2)考试比例:岗位报考人数与招聘人数比例原则上不低于3:1,报考人数达不到开考比例的,经公开招聘领导小组同意,可降低开考比例或取消该岗位招聘计划。招聘计划的调整于开考前公布。报考岗位取消的考生可在规定时间内改报一次其他岗位或退费。
(3)笔试时间及地点详见准考证。
(4)笔试结束后笔试成绩在盐山政务网公布。
2、面试
笔试结束后,根据招聘计划和考生笔试成绩,分岗位按1:2的比例确定面试人员(如开考比例降至1:1,该比例也相应调整至1:1),入闱面试末位考生笔试成绩并列者一并纳入面试范围。
面试方式:面试采取结构化面谈方式进行,面试满分为100分。
面试内容:以报考岗位相关专业知识为主。
面试时间和地点登陆盐山政务网查询。
面试成绩于面试结束后在盐山政务网发布。
3、总成绩合成及排名确定
面试结束后,按笔试总成绩×50%+面试总成绩×50%计算总成绩,保留小数点后两位。按总成绩从高到低依次确定排名顺序,岗位末位总成绩出现并列时,按面试成绩、学历层次、取得相关专业技术资格级别由高到低进行区分排名,若仍不能区分排名者,由招聘领导小组研究确定。在此后的资格复审、体检、考察、公示等环节发现问题需要递补时,均按此办法确定。
五、资格复审
面试结束后,依据招聘计划数与考生从高到低的总成绩排名,按照1:1的比例确定资格复审人员。
进入资格复审的考生,必须在规定时间内到指定地点参加复审,携带个人二代居民身份证、户口簿、毕业证、岗位要求的相关资格证、个人档案等相关证件资料。审查不符合招聘条件的,取消资格。逾期不提交资格审查材料的,视为自动放弃资格。在报考同一岗位的考生中,按总成绩由高到低的顺序依次递补。
六、体检、考察
资格复审合格人员进入体检环节。体检人员名单在盐山政务网公布,体检参照现行的《公务员录用体检通用标准》的有关规定执行,具体时间和地点另行通知,体检费由报考人负担。
体检合格人员进入考察环节。主要考察拟聘人员的政治思想表现、道德品质、工作能力和现实表现等。
七、公示和聘用
经体检、考察合格人员,确定为拟聘用人选,在盐山政务网进行公示,公示期为7个工作日。经公示无异议的,由县人社局提出聘用意见(报考乡镇卫生院同一岗位的考生按照总成绩由高到低的顺序依次选择应聘岗位),报县政府审批,在批复后按有关规定签订《事业单位聘用合同》,并办理相关聘用手续。对公示反映有问题并查有实据,不符合聘用条件的取消其拟聘用人选资格,对反映有问题但一时难以查实的,暂缓聘用,待查实并做出结论后决定是否聘用。
被聘用人员按相关政策规定实行试用期,试用期一并计算在聘用合同期限内。试用期满考核合格的,予以正式聘用;不合格的,取消聘用。聘用后,最低服务年限为5年。
八、注意事项:
1、应聘人员前来报名、笔试和面试时应佩戴口罩并持有健康绿码、严格进行体温检测,有发热症状(体温≥37.3℃)的人员须进行复检,仍超过37.3℃的,交由考点医务人员判断;中高风险地区来盐人员要持有7日内一次核酸检测证明,且持有健康绿码,体温正常后可进入。
2、本次考试不指定考试辅导用书,不举办也不委托任何机构或个人举办考试辅导培训班。
3、凡考生未在规定时间内按要求参加笔试、面试、资格复审、体检、考察、报到等情况的,均视为自动放弃应聘资格;资格审核贯穿招聘工作全过程,在任何环节,发现考生不符合招聘条件,弄虚作假的,取消应聘资格,问题严重的要追究责任。
咨询电话:人社局0317-6221778转8309
卫生健康局0317-6213053
详情登录
http://www.chinayanshan.gov.cn/zwdt/gsgg/4689.html
唐山市公安局汉沽分局2020年招聘警务辅助人员公告
为适应汉沽管理区发展,维护社会治安稳定等工作需要,唐山市公安局汉沽分局现面向社会公开招聘警务辅助人员15名,现就有关事项公告如下:
一、招聘人数及工作职责
此次招聘的15名警务辅助人员,主要负责协助民警承担辖区的社区警务、巡逻盘查、反恐处突、接受群众求助等职责任务。
二、招聘条件、岗位
(一)招聘条件
1.具有中华人民共和国国籍;具有唐山市汉沽管理区户籍(含原户籍地为汉沽管理区户籍或已婚应聘人员配偶为汉沽管理区户籍),户籍日期截止时间为2020年8月22日。
2.拥护《中华人民共和国宪法》,遵守国家法律、法规,品行端正,有较强的组织纪律观念和认真负责的工作态度。
3.年龄在18周岁及以上,35周岁及以下(1984年8月22日至2002年8月22日出生)的公民。
4.具有国家承认的中专及以上学历;报考岗位2和岗位3的人员需具备国家承认的大专及以上学历。
5.身体健康、体貌端正。视力:矫正视力不低于5.0,无色盲;听力:单侧耳语听力不低于5米;无纹身,无口吃,无肢体功能障碍,无嗅觉迟钝,无影响面容且难以治愈的皮肤病(如白癜风、银屑病、血管瘤、斑痣等),无传染性疾病、精神病史、癫痫病史、心脑血管病等不适宜参加警务工作情形的。
(二)招聘岗位
招聘岗位所需的具体条件按附件1《唐山市公安局汉沽分局招聘岗位信息表》要求确定,如报名人数达不到开考比例的,招聘数额调剂到其他岗位。
三、招聘方法及程序
(一)发布公告
2020年8月22日通过“唐山市汉沽管理区委员会hangu.tangshan.gov.cn”网站、“唐山人才网www.tsrcw.com”面向社会公开发布招聘公告。
(二)报名和资格审查
本次招聘采取本人现场报名的方式。
1.报名时间:2020年8月25日--8月26日(上午8:30--11:30,下午2:30--5:00)。
2.报名地点及联系方式:汉沽管理区第一小学(南门),咨询电话:022-69213364(工作日上午8:30-11:30,下午2:30-5:30)。
3.每名报考人员可根据自身实际情况选择报考1个岗位。报考人员应如实提交有关信息和材料,凡本人填写信息不真实、不完整或填写错误的,责任自负。报名与考试时使用的身份证必须一致,同时请保持报名时所留联系电话的畅通,以便通知有关事宜。
请认真阅读《考生防疫与安全须知》(附件4),考生对个人健康状况填报实行承诺制,承诺填报内容真实、准确、完整,凡隐瞒、漏报、谎报旅居史、接触史、健康状况等疫情防控重点信息的,记入考试诚信档案,并依规依纪依法处理。
报名者现场提交《唐山市公安局汉沽分局招聘警务辅助人员报名表》(附件2)、《个人健康信息承诺书》(附件3),需从相应网站下载打印填写,本人签字确认。同时携带本人有效身份证、户口本(首页和本人页)、毕业证及有关材料原件,并提供上述材料的复印件、四张近期同版小二寸免冠彩色照片。
4.资格审查与缴费:根据招聘岗位设置条件进行资格初审,通过资格审查的考生交纳报名考务费100元。
(二)面试和体能测试
报名人员持本人身份证、准考证、《个人健康信息承诺书》参加面试和体能测试。
面试内容主要是:五官端正;视力:矫正视力不低于5.0,无色盲;听力:单侧耳语听力不低于5米;无纹身,无口吃,无肢体功能障碍。
体能测试项目为男性1000米跑、女性800米跑,合格标准参照《河北省公安机关人民警察体育锻炼达标标准测验规则》执行。
体能测试不计算具体成绩,结果分为合格或不合格。测试结果合格的考生,进入笔试。
面试和体能测试结果将在汉沽管理区行政服务中心公示栏予以公示。
准考证发放:考生于2020年8月28日上午8:30至11:00携带本人身份证到汉沽管理区第一小学(南门)领取准考证。
(三)笔试
考生参加笔试需携带本人身份证、准考证、《个人健康信息承诺书》(附件3)。
开考比例,各岗位报考人数与招聘人数的比例不低于2:1。笔试采取闭卷考试的方法,笔试内容为公共基础知识和职业能力测试,考试不指定指导用书和培训机构。(笔试期间不得携带各类电子设备进入考场,如:手机、计算器等)考试时限为120分钟,笔试卷面分值为100分,按照笔试成绩排名顺序,以招聘人数与体检人数1:1的比例,从高分到低分确定参加体检人数,如出现录取名次最后一名成绩并列者,只确定该名次之前人选进入体检程序,取消该名次(人选)录取资格。
笔试准考证发放:考生于2020年9月4日上午8:30至11:00携带本人身份证到汉沽管理区第一小学(南门)领取准考证。
(四)体检
笔试结束后,按体检人数与聘用人数1:1的比例,依据考试成绩从高分到低分确定体检人选。体检项目和标准参照《公安机关录用人民警察体检项目和标准》执行,体检费用自理。因体检不合格出现的人选空额,不递补。
(五)政审
体检合格的考生,由户籍地派出所政审。汉沽公安分局对体检合格者的思想政治表现、道德品质及业务能力进行综合考核。
(六)公示
政审合格的,确定为拟聘用人员,并在汉沽管理区行政服务中心公示栏公示,公示期7个工作日。对公示反映有严重问题并查有实据,不符合聘用条件的取消其拟聘用人选资格;对反应有严重问题的,但一时难以查实的暂缓聘用,待查实并作出结论后决定是否聘用。
(七)聘用
招聘人员性质为警务辅助人员,录用后与用人单位签订劳动合同。
四、工资福利待遇
此次招聘的警务辅助人员薪酬待遇由汉沽管理区财政统一保障,月岗位工资不低于河北省最低工资标准。按照国家有关规定缴纳企业职工保险。
五、纪律与监督
凡考生未在规定时间内按要求参加体能测试、笔试、体检、政审的,均视为自动放弃应聘资格。资格审查贯穿招聘工作全过程,报考者要对自己所提交信息的真实性负责,在任何环节,发现考生不符合招聘条件,弄虚作假或违反考试录用纪律的,一律取消考试或录用资格,问题严重的要追究当事人相关责任。
招录警务辅助人员,要坚持“公开、平等、竞争、择优”的原则,秉公办事,严肃招录纪律,主动接受社会各界的监督,确保新录用人员的政治素质和业务素质。
六、考试须知
(1)考生进入考场前一律扫描“河北健康码”,佩戴口罩,检测体温,核验身份(身份证)。“河北健康码”为绿码且体温检测正常的,方可进入考场。
(2)体温检测异常者不得参加考试。
(3)考生除验证身份时,全程佩戴口罩。
(4)考生入场时,严格控制入场速度,加大人员间距,防止人员聚集;考试期间,在考室内考生座位间隔应1米以上;考试结束,考生须在工作人员指引下,尽快离开考室及考点,避免聚集。
详情登录
http://new.tangshan.gov.cn/zhengwu/tshanguglqtongzhigonggao/20200824/1063952.html
石家庄市藁城区公安局交通管理大队警务辅助人员招聘公告
为切实维护我区道路交通管理秩序稳定,充实交通警务辅助人员队伍,规范用工管理,根据《石家庄市藁城区区直机关事业单位劳动聘用人员管理若干规定》,制定本方案。
一、招聘原则
坚持德才兼备、公开公正、平等竞争、严格考察、择优聘用的原则。
二、招聘职位数量
此次面向社会公开招聘交通管理大队警务辅助人员198人。
三、招聘条件
(一)具有中华人民共和国国籍;
(二)年龄为18周岁以上,男性45周岁以下,女性40周岁以下,有长期从事警务辅助工作经历的可适当放宽年龄限制;
(三)男性身高170cm以上、女性身高155cm以上;
(四)拥护中华人民共和国宪法、遵守国家法律法规、品行端正;
(五)具有履行职责的身体条件和工作能力;
(六)具有高中(中专)以上文化程度。全日制大学专科学历总分加2分,全日制大学本科学历总分加3分。退役军人或有长期警务辅助工作经历的可适当放宽学历限制;
(七)具有藁城区户籍,或在藁城区有固定住所的;
四、招聘程序
(一)发布公告
由第三方劳务服务机构微信公众号面向社会发布招聘公告。
(二)报名和资格审查
1.报名时间:2020年8月23日—2020年8月27日
2.报名地点:美世人力(四明南街19号)
3.报名资料:身份证原件及复印件2份,毕业证原件及复印件2份,学信网《教育部学历证书电子注册备案表》2份,个人信用报告2份,蓝底小二寸照片4张。
4.资格审查及缴费:依据招聘岗位设置的条件进行资格审查。资格审查标准:根据考生填报的信息,通过“学信网”对考生的毕业院校、学历、学制、专业、年龄等信息进行审核。通过资格审查的考生需缴纳考试服务费100元。
报名咨询:0311-88199900、88199919
(三)考试
此次招聘采取笔试和面试相结合的方式。
1、笔试
笔试采取闭卷方式,满分为100分;
考试内容为:公共基础知识、行政职业能力测验、交通法规知识。
时间和地点:以具体通知为准,参加笔试时,必须同时携带准考证和身份证原件。
2、面试
面试人选依据笔试成绩从高分到低分的顺序确定,按照招聘人数和面试人数的1:1.2的比例进入面试,若达不到这一比例的全部进入面试。若比例内末位笔试总成绩并列的都进入面试环节。
时间和地点:以具体通知为准
3、综合成绩
面试工作结束后,按笔试成绩、面试成绩两部分计算考试综合成绩,满分100分。综合成绩的计算方法为:综合成绩=笔试成绩(百分制)*40%+面试成绩*60%。
(四)资格复审及体检
根据考生综合成绩依岗位按1:1的比例确定进入考察和体检人员。比例内末位考生总成绩如出现并列,按以下顺序确定进入体检:面试成绩高者,学历(学位)较高者,有从事警务辅助工作经历且工作期间各项考核优秀者的优先录用。
体检项目标准参照《公务员体检通用标准(试行)》的有关规定执行,体检费用自理。
考察内容主要是拟聘人员的政治思想表现、道德品质、业务能力、工作实绩等情况。
考察、体检如有不合格,出现岗位空缺的,按综合成绩高低依次递补。
体检、考察的时间和地点由第三方劳务服务机构另行通知。
进入体检和考察人员名单及有关事项将于面试结束后在第三方劳务服务机构微信公众号予以公示。
(五)办理手续
第三方劳务服务机构与招聘人员签订劳动合同后,派遣到石家庄市藁城区公安局交通管理大队工作,具体岗位由用人单位根据工作需要自行安排。第三方劳务服务机构与石家庄市藁城区公安局交通管理大队签订派遣协议。派遣人员上岗后须接受用人单位和派遣公司双重考核。
五、薪酬待遇
聘用的198名警务辅助人员岗位工资不低于河北省公布的藁城区职工最低工资标准,缴纳相关社会保险,基数以区社保中心核算为准,其中个人缴纳部分由本人承担,从个人应发工资中扣除。
六、其他事项
石家庄市藁城区公安局交通管理大队提出招聘岗位、数量、条件等要求,第三方劳务服务机构组织实施。
凡报考人员未在规定时间内按要求参加笔试、面试、体检、考察、报到的,均视为放弃招聘资格。资格审核贯穿招聘工作全过程,在任何环节发现考生不符合招聘条件或弄虚作假的,取消资格,已办理聘用手续者取消聘用,本人承担由此产生的一切后果。
详情登录
https://mp.weixin.qq.com/s/pcgXbqaUE4EKrtShwhVirQ
玉田县通宇劳务输出有限公司关于公开招用劳务派遣工作人员的公告
根据全县治理超载超限工作以及玉滨公路收费管理站收费现状,为维持正常的工作秩序和弥补人员不足问题,经研究决定,拟面向社会公开招用交通局劳务派遣工作人员46人,具体公告如下:
一、招用人数
公开招用交通局劳务派遣工作人员46人, 其中男性40名,女性6名。
二、招用条件
(具体情况详见附件1、附件2)
1.学历要求:全日制普通类专科及以上学历;
2.年龄要求:招用对象年龄在30周岁以下(1989年8月24日以后出生,以身份证为准);
3.户籍要求:招用对象为玉田县户籍;
4.其他要求:
(1)具有良好的职业道德和敬业精神,遵纪守法,品行端正。
(2)身心健康,五官端正,无传染病,无抑郁史及精神心理疾病。
(3)服从分配。
5.有下列情形之一者,不得报名:
(1)正在接受司法或纪检监察机关立案调查的;
(2)受过司法机关刑事处罚的;
(3)曾经被开除的公职人员;
(4)全日制普通类2021年及以后毕业的在读学生;
(5)现役军人;
(6)具有法律规定不得招用的其他情形的人员。
三、招用的程序和方法
本次招用工作按照发布招用公告、网上报名、资格审查、笔试、资格复审、体检、考察、公示、岗前培训等步骤进行。
(一)公告时间
2020年8月24日通过微信公众号“玉田人社”“玉田人才”面向社会公开发布招聘信息,时间2020年8月24日至8月30日。
(二) 报名
本次招聘采取网上报名方式进行,不接收其他方式报名。
1.报名时间:2020年8月31日9:00时-9月4日17:00。
2.报名网址:通过下载微信小程序“玉田在线招录”或者通过微信公众号“玉田人社”【公开招聘】菜单、“玉田人才”【考录动态--公开招聘】菜单进入。咨询电话:0315-6181543 (工作日8:30—11:30,14:30—17:30)。
3.报名收费:每人收取考务费100元。
4.资格审查截止时间:2020年9月6日17:00。
5.缴费截止时间:2020年9月8日17:00。
6、准考证打印时间:
2020年9月15日8:30—9月16日17:00。
(三)资格审查
每名报考人员按照岗位代码报名,只能报考一个岗位。报名者按要求提交相关材料。报名与考试时使用的身份证必须一致。请考生保持报名时所留联系电话的畅通,以便通知有关事宜。
1.考生报名前,须完全了解本次招用政策和拟报考岗位条件,认真阅读网上《招用公告》,按照操作指南进行具体操作。
2.网上报名实行严格的自律机制,报考人员必须对提交审核的报名信息真实性负责,在公开招用的任一环节中(包括试用期),凡发现网上填报的信息与实际情况不一致的、不符合报考条件的,取消资格。
3.按照要求规范填写或选择表项,认真核对《岗位信息表》条件要求,务必逐条如实填写符合条件相关内容。报考信息通过审核后才能进行缴费操作,缴费成功即完成报名。
4.考生“提交审核”后信息将被锁定,在未反馈审核结果前不能修改。“审核未通过”的,可根据提示的未通过原因,修改信息或改报岗位并重新提交审核;“审核通过”的,不能再修改,直接进入缴费程序。缴费成功后,自行下载打印准考证。
5.开考比例:岗位报考人数与招用人数的比例不低于2:1,对达不到比例的岗位,核减或取消该岗位的招用计划。
(四)考试
此次招用考试由玉田县通宇劳务输出有限公司委托第三方考试机构进行。
笔试时间以准考证确定时间为准。笔试采取闭卷考试的方式进行,考试内容为公共基础知识和事业单位职业能力测验知识,时间为120分钟,满分100分。
(五)资格复审
由人社部门对进入范围人员进行资格条件复审。资格条件复审时,考生应按照招聘岗位资格条件要求提供本人身份证、准考证、毕业证、学位证、报到证等相关材料的原件和复印件到指定地点进行复审,逾期不到视为自动放弃。经复审合格进入体检、考察程序。复审时间和地点详见微信公众号“玉田人才”通知。
(六)体检、考察、公示
1.体检。依据招用名额按1:1的比例,按考试成绩从高到低确定参加体检人员名单。比例内末位成绩相同者,按以下顺序确定进入体检考生:烈士子女或配偶,学历(学位)较高者,退役士兵,少数民族考生,具有基层工作经历或基层工作经历较长者,曾受县级以上党委、政府奖励且受奖级别较高者。如果以上条件均相同,都进入体检程序,根据体检结果择优聘用。拟招用人员需参加体检,体检项目和标准参照《公务员录用体检通用标准(试行)》执行。
2.考察。由县公开招用工作领导小组办公室负责对体检合格人员进行考察。由原工作单位或居住地村委会(街道办)和户籍所在地派出所出具招用人员现实表现证明,重点考察招用人员的思想政治表现、道德品质等。因体检、考察不合格出现的指标缺额,按确定体检人员名单顺序依次递补。
3.公示。经体检、考察合格的,确定为拟招用人选,在“玉田人才”进行公示,公示期为七个工作日。对公示反映有严重问题并查有实据,不符合招用条件的取消其拟招用人选资格;对反映有严重问题但一时难以查实的,暂缓招用,待查实并做出结论后决定是否招用。
(七)招用。经公示无异议的,确定招用为交通局劳务派遣工作人员,与玉田县通宇劳务输出有限公司签订两年以上固定期限劳动合同。劳动合同期满,经县交通运输局考核合格后,双方可以协商续签劳动合同。
(八)培训上岗。县交通运输局集中对新招用的劳务派遣工作人员进行岗前培训。经培训后,进行统一分配。要求招用人员在规定的期限内上岗。无故不到岗的,按自动放弃处理。
(九)补录。因体检、考察、公示、招用等环节中出现缺额的,按考试成绩由高到低依次递补。
四、招用人员待遇
1.在劳动合同期内,由县交通运输局对劳务派遣工作人员进行考核管理。考核不合格者,县交通运输局有权将其退回玉田县通宇劳务输出有限公司,并由通宇公司解除劳动合同。
2.劳务派遣工作人员提出辞职时,需提前一个月向县交通运输局递呈书面申请,同时向玉田县通宇劳务输出有限公司提出解除劳动合同申请,履行相关法定手续后方可辞职。
3. 招用的交通局劳务派遣工作人员工资标准为每月2650元。招用人员的工资保险等费用由财政拨付到劳务派遣公司,劳务派遣公司负责发放工资,为其缴纳企业职工社会保险(养老、医疗、工伤、生育、失业),个人应缴纳部分从工资中扣除。不享受其他福利待遇。
五、相关事宜
(一)报考人员按规定参加考试、资格复审、体检、考察、培训等。凡在规定时间未参加规定程序的,均视为自动放弃。试用期间若发现有不符合报名条件、不能胜任工作的取消招用资格。
(二)考试成绩可通过微信小程序“玉田在线招聘”查询,招用结果关注“玉田人才”微信公众号。
(三)本次考试由玉田县通宇劳务输出有限公司委托第三方机构进行,包括命题、印刷、监考、阅卷、登统等环节,全权负责公开招用交通局劳务派遣工作人员的笔试工作。
(四)本次考试不指定考试辅导用书,不举办也不委托任何机构或个人举办考试辅导培训班。
六、本公告由玉田县通宇劳务输出有限公司负责解释。
详情登录
https://mp.weixin.qq.com/s/5rK9yhZoy4b-p2Zh8sVxzA
广宗县2020年公开招聘社区管理人员和工作人员简章
根据工作需要,经县委研究决定,面向全县公开招聘社区管理人员和工作人员,特制定本实施方案。
一、招聘原则
招聘工作坚持德才兼备和民主、公开、竞争、择优的原则,在考试、考察的基础上择优聘用。
二、招聘方式
本次招聘采取统一招聘方式。按照制定招聘方案、发布招聘公告、报名、考试(笔试、面试)、考察、体检、拟聘人员公示、聘用等步骤进行。
三、招聘岗位及人数
面向全县公开招聘社区管理人员21名、工作人员42名。
四、招聘岗位工作职责
1.在社区居委会开展相应工作。
2.贯彻执行党的路线、方针、政策和国家法律、法规,教育和引导社区居民遵纪守法,自觉依法履行应尽义务。
3.执行社区党组织、居委会的决定、决议和居民代表会议的决定、意见,办理本社区公共事务和公益事业,引导居民参与自治活动,维护居民的合法权益。
4.认真听取并积极反映居民的意见和建议,做好舆论宣传和居民的思想疏导工作。
5.贯彻落实有关部门部署要求,协助做好与居民利益相关的社会治安、矛盾化解、公共卫生、社会保障、就业服务、帮扶救助、拆违打非等工作。
五、招聘条件
应聘人员应同时具备以下基本条件:
1.管理人员要求中共党员,年龄在45周岁以下(1974年8月26日后出生),具备较好的组织沟通协调能力;
工作人员要求年龄在35-45周岁之间(1974年8月26日-1984年8月26日出生),202003、202004岗位年龄在35周岁以下(1984年8月26日后出生),具有熟练的微机操作和较好的文字写作能力;
2.具有基层或部门管理治理丰富经历和经验的优先,持有《社会工作者职业水平证书》的优先,在抗击新冠肺炎疫情工作中表现突出的优先;
3.遵守宪法和法律;
4.具有良好的品行和职业道德;
5.身体健康;
6.具备招聘所需要的其他条件。详见《广宗县2020年公开招聘社区管理人员和工作人员岗位计划表》。
年龄计算日期截止到2020年8月26日,以公民身份证出生时间为准。新迁入广宗户籍的,迁入时间截止到2020年8月26日(以户口本迁入时间为准)。
六、招聘程序
(一)发布公告
2020年8月19日—2020年8月25日在广宗县人民政府网(www.gzx.gov.cn)、“邢台人才网”“广宗就业招聘”和“广宗发布”微信公众号发布招聘公告。
(二)报名和资格审查
1.报名方式:一律采取现场报名方式,采集报考人员的影像、指纹并录入系统。
2.报名时间:2020年8月26日—8月30日(上午8:30—12:00,下午2:30—5:30)。
3.报名地点及联系方式
报名地点:广宗县创业孵化园(县开发区行政审批局东侧)
联系方式:0319-3758979
4.报名要求
(1)报考人员按要求填写《广宗县2020年公开招聘社区管理人员和工作人员报名表》,并携带本人身份证、户口簿(首页、本人页)、毕业证、就业报到证原件及复印件,普通全日制专科以上学历的考生提供学信网学历查询证明。小二寸近期正面免冠同底彩色照片6张。报名费每人100元。
(2)城镇退役军人需携带退伍证原件及复印件。
(3)受新冠肺炎疫情影响无法如期毕业的应届毕业生可放宽至2020年12月31日前提供毕业证、报到证等资料。
5.资格审查
依据招聘条件对报考人员进行资格审查,查验、核实有关证件、证明。
(三)开考比例
所有招聘岗位开考比例为2:1(报考人数与招聘计划数比例),达不到比例时,相应调整招聘计划数。
(四)笔试
1.笔试由县人社局组织实施,根据省市县疫情防控要求进行,笔试时间、地点另行通知。
2.准考证发放。准考证必须由报考者本人在规定的时间内携带身份证领取。逾期不领者视为自动放弃。
3.笔试采取闭卷的方式,考试时间120分钟,满分100分,笔试内容以《公共基础知识》《时事政治》为主。笔试时间、地点另行通知。
4.笔试设最低合格分数线。对在笔试最低合格分数线以上的考生,依据笔试成绩从高分到低分按招聘计划数1:1.5的比例确定进入面试人选。比例内末位笔试成绩并列的均进入面试人选。笔试成绩、最低合格分数线和进入面试人选在广宗县人民政府网(www.gzx.gov.cn)公布。
本次笔试不指定考试辅导用书,不举办也不委托任何单位和个人举办辅导培训班。
(五)面试
1.面试由县人社局组织实施。根据省市疫情防控要求,面试方案另行制定,时间、地点等具体事宜另行通知。
2.面试方式:管理人员采取结构化面试+设问答辩方式进行;工作人员采取结构化面试方式进行。主要测试应聘人员的综合分析能力,适用工作的综合能力、与报考岗位匹配性、应变与自我控制力、语言表达与仪表举止等相关能力。面试实行百分制,当场打分,面试成绩采用“体操打分”方法,去掉一个最高分和一个最低分,其他分数的平均分为面试成绩。进入面试的人选,按照报考岗位分别在同组同场下由同一组评委进行面试。面试成绩以6人为一组即时在考点张贴公布。
面试最低合格分数线为60分。
(六)考试总成绩合成
面试结束后,按笔试成绩、面试成绩两部分计算考试总成绩,满分100分。
考试总成绩=笔试成绩×40%+面试成绩×60%。(考试总成绩保留两位小数)
根据考试总成绩从高分到低分排序,按1:1比例确定进入体检和考察人选。进入体检和考察人选考试总成绩末位出现并列时,以笔试成绩高者确定进入体检和考察人选。进入体检和考察人选名单在广宗县人民政府网(www.gzx.gov.cn)公布。
(七)考察和体检
考察由县委组织部、广宗镇党委制定方案报县公开招聘社区管理和工作人员工作领导小组审核、备案后组织实施,体检由县人社局组织并参照现行公务员录用体检标准执行,体检费用自理。考察、体检不合格的,取消拟聘人选资格,并从最低合格分数线以上报考同一岗位人员中按考试总成绩从高分到低分依次递补。
(八)公示、聘用
根据招聘方案规定和考试、考察、体检结果确定拟聘人选名单。拟聘人选名单在广宗县政府网(www.gzx.gov.cn)进行公示,公示期为7个工作日。
对公示过程中被反映有严重问题并被查实不符合聘用条件的,取消其拟聘人选资格,并从考试总成绩在合格线以上同一岗位报考人员中从高分到低分依次递补;对反映有严重问题但一时难以查实的,暂缓聘用,待查实并做出结论后决定是否聘用。
公示期满无异议的,与广宗镇签订劳动合同,办理相关手续。由广宗镇管理,纳入社区管理序列。
七、待遇
本次公开招聘社区管理人员工资待遇按照扣除养老、医疗、工伤保险费后不低于我县最低工资标准的1.3倍执行;社区工作人员工资待遇按照扣除养老、医疗、工伤保险费后不低于我县最低工资标准执行。上岗后,各社区依法组建社区党组织,对符合条件的连续任职满6年且考核合格的优秀社区党组织书记可纳入编制管理;社区管理人员和工作人员纳入社区年度绩效考核,考核成绩作为薪酬发放、奖励惩戒、岗位调整和续聘解聘的依据。
八、纪律要求
凡考生未在规定时间内按要求参加笔试、面试、考察、体检、报到等情况的,均视为自动放弃。资格审核、报考人员的影像、指纹核对系统贯穿招聘工作全过程,在任何环节发现考生不符合招聘条件、弄虚作假的,一律取消资格,问题严重的要追究责任。
九、疫情防控
严格做好疫情防控工作。报名考生配合安保人员做好体温检测,查核本人绿色健康码,均须与他人保持1米以上社交距离,避免近距离接触交流。考生在报名期间一律全程佩戴口罩,录入影像环节需暂摘口罩进行。
本公开招聘简章发布后,如疫情防控态势突发重大变化,将按照上级指示精神,酌情调整变更相关工作安排。
详情登录
http://www.gzx.gov.cn/content/25030.html
邯郸市市政公用事业投资集团有限公司关于引进硕士人才的公告
根据《邯郸市2020年高层次人才引进工作实施方案》文件,为进一步加强市政集团人才队伍建设,现面向社会公开招聘相关岗位工作人员,现将有关事项公告如下:
一、市政集团简介
邯郸市市政公用事业投资集团有限公司是根据邯郸市政府印发的《关于组建邯郸市市政公用事业投资集团有限公司方案的通知》(邯政字〔2017〕60号)要求,由邯郸市城管执法局作为出资人组建的国有独资公司,注册资本金8亿元人民币。市政公用集团作为法人主体主要对市政设施(市政建设及维护)、公用事业(城市供水、排水、燃气、供热)、环境卫生(建筑、生活、餐厨、医疗垃圾处置)等城市基础设施及公用事业项目进行投资开发运营。目前,下设邯郸市市政园林绿化有限公司、邯郸市恒辉市政工程有限责任公司、邯郸市市政供热有限责任公司、邯郸市煤气公司、邯郸市热力公司和邯郸市市政公用事业投资集团有限公司停车分公司。
二、招聘原则
坚持德才兼备,在“公平、公正、公开”的基础上通过面试、考察择优聘用。
三、招聘方式
本次招聘工作采取统一招聘方式。按照报名及资格审查、面试、体检、考察、公示、聘用等程序进行。
四、招聘数量和岗位
本次公开招聘工作人员共计10名。岗位具体招聘专业、人数以及学历、学位等具体条件见附表1《2020年邯郸市市政公用事业投资集团有限公司招聘专业人才岗位信息表》。
五、招聘的范围、对象和资格条件
(一)招聘范围和对象
具有国内全日制普通高校研究生及以上学历并取得相关学位或经国家教育部认证的海外留学硕士研究生及以上学历。
(二)招聘条件
1.拥护党的领导,遵守中华人民共和国宪法和法律;
2.具有中华人民共和国国籍;
3.要求具有良好的思想政治素质和职业道德水平,热爱市政公用事业、身体健康;
4.符合需求岗位的专业及相关要求;
5.硕士研究生须于2020年7月31日前取得毕业证书、学位证书,急需紧缺优秀人才毕业时间经研究后可适当放宽;
6. 硕士研究生年龄在35周岁以下(1984年7月31日以后出生)。博士生年龄放宽到40周岁及以下(1979年 4月 7日以后出生,不含当天);
7.已就业的应聘人员需有现工作单位及主管单位出具的同意报考证明;
8.港澳台居民报考的,按有关规定执行;
9.须具备用人单位的其他要求。
(三)有下列情形之一的人员不得报名应聘
1.曾受过刑事处罚和被开除公职的;
2.涉嫌违纪违法正在接受有关机关审查尚未作出结论的;
3.在校期间受到院系以上处分的;
4.受处分期间或未满影响期限的;
5.在各级各类公务员、事业单位招考(聘)中被认定有舞弊等严重违反纪律行为的;
6.现役军人;
7.已在邯郸市区域内行政事业单位工作的在职在编人员;
8.按规定未满服务期限的;
9.失信被执行人;
10.法律法规规定的其他情形。
(四)回避规定
应聘人员不得报考聘用后即构成回避关系的招聘岗位。回避关系是指“凡与聘用单位负责人员有夫妻关系、直系血亲关系、三代以内旁系血亲或者近姻亲关系的应聘人员,不得应聘该单位负责人员的秘书或者人事、财务、纪律检查岗位,以及有直接上下级领导关系的岗位。聘用单位负责人员和招聘工作人员在办理人员聘用事项时,涉及与本人有上述亲属关系或者其他可能影响招聘公正的,也应当回避”的规定。
六、招聘程序
1.报名时间
2020年8月25日至2020年8月31日24:00。
2.报名
请将《邯郸市市政公用事业投资集团有限公司2020年招聘工作人员报名表》(附件2)和身份证、各学历阶段的毕业证、学位证、资格证(包括职称证、执业证等)和岗位要求的相关材料扫描一并打包后发送至本次招聘指定邮箱hdszjtrlzy@126.com,邮件要求以文件夹的方式发送,文件夹名称必须注明“应聘岗位+姓名+毕业院校+所学专业”,否则不予审查。
3.资格审查
对应聘者进行资格审查筛选,电话(短信)通知符合条件的人员。凡弄虚作假者,一经发现,取消应聘资格。
4.面试
集团统一组织安排,由集团各部室及下属公司等相关人员组成不少于7人的测评考核小组,采取现场方式进行综合评价。
5.体检、考察
通过面试的人员,进行体检和考察,并对其资格条件进行复审。考察、体检不合格的,取消拟聘人员资格。
6.公示、聘用
经体检、考察合格的,确定为拟聘用人员,进行公示,公示期为7个工作日。对公示期满无异议的,报相关机构备案后,按程序办理相关聘用手续,签订聘用合同。被聘用人员实行试用期,试用期一并计算在聘用合同期限内。试用期满考核合格的,予以正式聘用,不合格的,取消聘用。
七、政策及待遇
1.“英才卡”服务。引进的博士、“双一流”硕士等高层次人才到集团工作之日起,发放“英才卡”,享受科研立项、医疗保健、交通旅游等10方面的服务。
2.住房保障。对引进的博士、“双一流”硕士等高层次人才优先入驻邯郸市人才公寓。本人不愿入驻人才公寓的,自到集团工作之日起,由市财政分别给予博士8万元、硕士5万元的一次性购房补贴。
3.政治待遇。加大高层次人才发展党员力度,优先推荐为各级优秀共产党员、劳动模范等。
4.办理聘用。应届毕业生审核学历、报到证等材料后,直接办理录用手续;已参加工作需办理调动的,审核档案材料、出具商调函、填写《干部流动审批表》,办理调动手续,转接社保等相关人事手续。
5.薪酬待遇。对于引进的博士、研究生,按照集团相关薪酬标准执行。
6.职称评聘。对于引进的优秀博士、研究生,已具有职称的,按照集团规定直接聘用,并享受相应待遇。
八、其他事项
1.凡应聘人员未在规定时间内按要求参加资格审查、测评、体检、考察、报到、办理聘用手续等情况的,均视为自动放弃应聘资格。资格审核贯穿招聘工作全过程,在任何环节,发现考生不符合选聘条件的,伪造、假冒各种证件,弄虚作假的,一经查实,取消其应聘资格。
2.请考生报名时,务必填写本人常用联系方式,确保在招聘期间保持手机等通讯设备畅通,以免影响选聘。
3.本次选聘工作中在面试、体检和考察等环节中出现不合格或考生主动放弃等原因造成的岗位比例内空缺,按照考生测评成绩由高到低的顺序依次递补。
4. 拟录用人员接到录用通知后,要在规定报到时间内完成报到手续,遇有特殊情况需要延期的须经邯郸市市政公用事业投资集团有限公司批准,否则视为自动放弃录用。被录用人员应当遵守集团人事管理规定,服从集团人事安排和调剂。
5. 本方案及未尽事宜,由邯郸市市政公用事业投资集团有限公司负责解释。
联系人:孙文林
联系电话:3116009
监督电话:3117007
详情登录
https://www.hbrc.com.cn/Article/content/id/55379/code/c4f8.html
唐山市人才市场为北京理工大学唐山研究院公开招聘行政管理人员启事
唐山市人才市场为北京理工大学唐山研究院开展行政管理人员的委托招聘工作。
北京理工大学唐山研究院(以下简称“研究院”)成立于2019年10月,由北京理工大学与唐山市人民政府合作共建,注册在唐山的独立法人事业单位。研究院坐落于唐山市路北区建设南路57号,校园面积约163亩,房屋建筑物约11万平米。研究院以建设成为立足京津冀的高层次人才培养基地和科技创新基地为目标,充分发挥唐山市场、产业、区位优势和政府引导作用,发挥北京理工大学人才培养、科技创新、成果转化等方面的优势,开展研究生人才培养、高端教育培训、科技创新和成果转化等工作,促进唐山经济社会发展和产业升级转型,服务北京理工大学“双一流”建设。
研究院根据发展需要,拟公开招聘首批聘任制行政管理人员若干名,具体岗位参见《北京理工大学唐山研究院公开招聘行政管理人员岗位表》(附件1),现将有关事项公告如下:
一、招聘对象要求
1.具有中华人民共和国国籍,遵守宪法和法律,具有良好的政治素质和道德品行;
2.政治立场坚定,拥护中国共产党领导和社会主义制度,坚定履行党和国家的教育方针;
3.具有正常履行岗位职责的身体条件和心理素质;
4.具有全日制普通高等院校本科以上学历并取得学士以上学位,年龄要求为40岁以下(1980年1月1日之后出生);具有相关岗位工作经验且取得突出成绩的可放宽学历和年龄要求;
5.满足聘任岗位所规定的岗位职责和条件要求。
二、报名
1.填写《北京理工大学唐山研究院应聘岗位申请表》(附件2),连同个人简历打包发送到tsrchr@163.com,邮件主题注明“招聘+姓名”;
2.《北京理工大学唐山研究院应聘岗位申请表》填写完成后,命名为“申请岗位名称+姓名”;
3.应聘者填写的信息应当真实、准确,凡提供虚假信息的,一经查实即取消报名及聘用资格;
4.应聘者应按照规定流程和时限完成各环节,所留联系电话应准确无误,确保能够及时联系到本人;因个人联系方式有误或未在规定时间内回复的,由个人承担全部责任;
5.报名截止日期为2020年8月30日;
三、具体招聘计划
1.资格初审:根据招聘条件和岗位要求,研究院将对报名人员进行资格初审,主要审核应聘者思想政治素质、学习和工作经历、所学专业与岗位匹配度等,通过初审人员进入面试环节;
2.现场考核:研究院在疫情防控期间不组织集中面试活动,拟根据通过初审人员的情况进行部分面试,具体时间、地点、方式提前通知;
3.笔试、体检和心理测试:拟对部分岗位进行笔试,笔试成绩不合格者不予录取;体检和心理测试参照北京理工大学录用体检标准及项目实施;具体时间及相关事宜另行通知;
4.聘用:通过各环节后,研究院通过劳务派遣公司与聘用人员签订聘期为五年的劳动合同,按规定实行试用期制度,试用期满合格的予以正式聘用;不合格的取消聘用。
四、待遇情况
1.我院行政管理人员,实行劳务派遣聘用方式,一律由劳务派遣公司与聘用人员签订劳动合同,按国家规定在唐山市办理和缴纳“五险一金”;
2.本科毕业生税前年薪为6-15万,研究生毕业税前年薪为9-20万,有相关工作经历者按照相关业务和工作量进行具体认定;
3.享受带薪寒暑假;
4.薪酬随工作年限和工作能力提升;
5.优惠参加研究院举办的各类高端培训课程,提供相关业务能力、出国等培训机会;
6.对唐山市外地区人员提供教师公寓。
五、联系方式
联系电话:0315-2806038 2806039
简历投递:tsrchr@163.com
详情登录
http://www.tsrcw.com/indexpage/show.aspx?id=6102
承德市双桥区人力资源和社会保障局公益性岗位招聘公告
承德市双桥区人力资源和社会保障局及下属单位拟招用公益性岗位人员10名,根据《承德市人力资源和社会保障局、承德市财政局关于印发<承德市公益性岗位开发管理实施办法>》(承人社字〔2020〕133号),特向社会公开招用。
一、招用岗位
社会公益性人员(窗口服务)10名,全日制,男女不限。
二、招用条件
(一)18-40周岁且持有《就业失业登记证》或《就业创业证》并认定为就业困难人员。熟练操作计算机、使用办公软件;
(二)身体健康,爱岗敬业,无社会不良记录;
(三)正在从事公益性岗位服务人员(公益性岗位协议未到期人员)、已经从事过公益岗人员以及有工商营业执照等其他不符合政策规定的人员不能申请;
(四)城镇零就业家庭、退役军人、建档立卡贫困户人员应出具相关证明材料,优先招用。
三、招用方式
采取计算机相关技能操作测试和面试相结合的方式进行招用。时间另行通知。
四、工作待遇
每周工作不超过40小时,岗位补贴每月1790元;按政策规定享受养老、失业、工伤、医疗保险等社会保险补贴,在岗期限最多不超过三年。
五、关于报名
(一)报名时需提供身份证和《就业失业登记证》或《就业创业证》原件及复印件。
(二)报名时间:2020年8月26日8点30分至9月5日17点
(三)报名地点:大佟沟中国银行(老中银宾馆)510室
联 系 人:周渤涵 联系电话:2021160
详情登录
http://www.sqq.gov.cn/art/2020/8/24/art_3920_641460.html